第04:
专版
上一版
3
4
下一版
标题导航
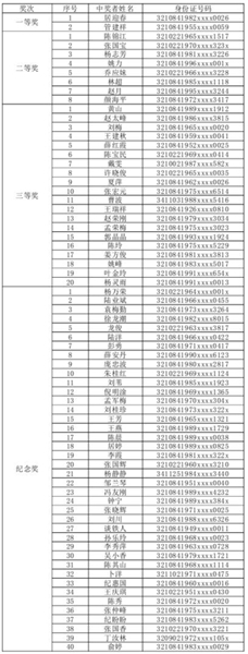
“农行杯”住房公积金有奖知识竞赛中奖名单
~~~
2017年“农行杯”住房公积金有奖知识竞赛中奖名单公告
~~~
2017年“农行杯”住房公积金有奖知识竞赛答案
~~~
2017年“农行杯”住房公积金有奖知识竞赛活动圆满结束
~~~
2017年05月09日
星期二 出版
上一期
下一期
返回首页
|
版面概览
|
版面导航
|
标题导航
3
上一篇
下一篇
4
朗读
放大
缩小
默认
“农行杯”住房公积金有奖知识竞赛中奖名单
3
上一篇
下一篇
4
朗读
放大
缩小
默认
© 杭州前方信息技术有限公司
第01版:一版要闻
第02版:综合新闻
第03版:副刊
第04版:专版
“农行杯”住房公积金有奖知识竞赛中奖名单
2017年“农行杯”住房公积金有奖知识竞赛中奖名单公告
2017年“农行杯”住房公积金有奖知识竞赛答案
2017年“农行杯”住房公积金有奖知识竞赛活动圆满结束
日
一
二
三
四
五
六
高邮报
专版
04
“农行杯”住房公积金有奖知识竞赛中奖名单
2017-05-09
2
2017年05月09日 星期二